
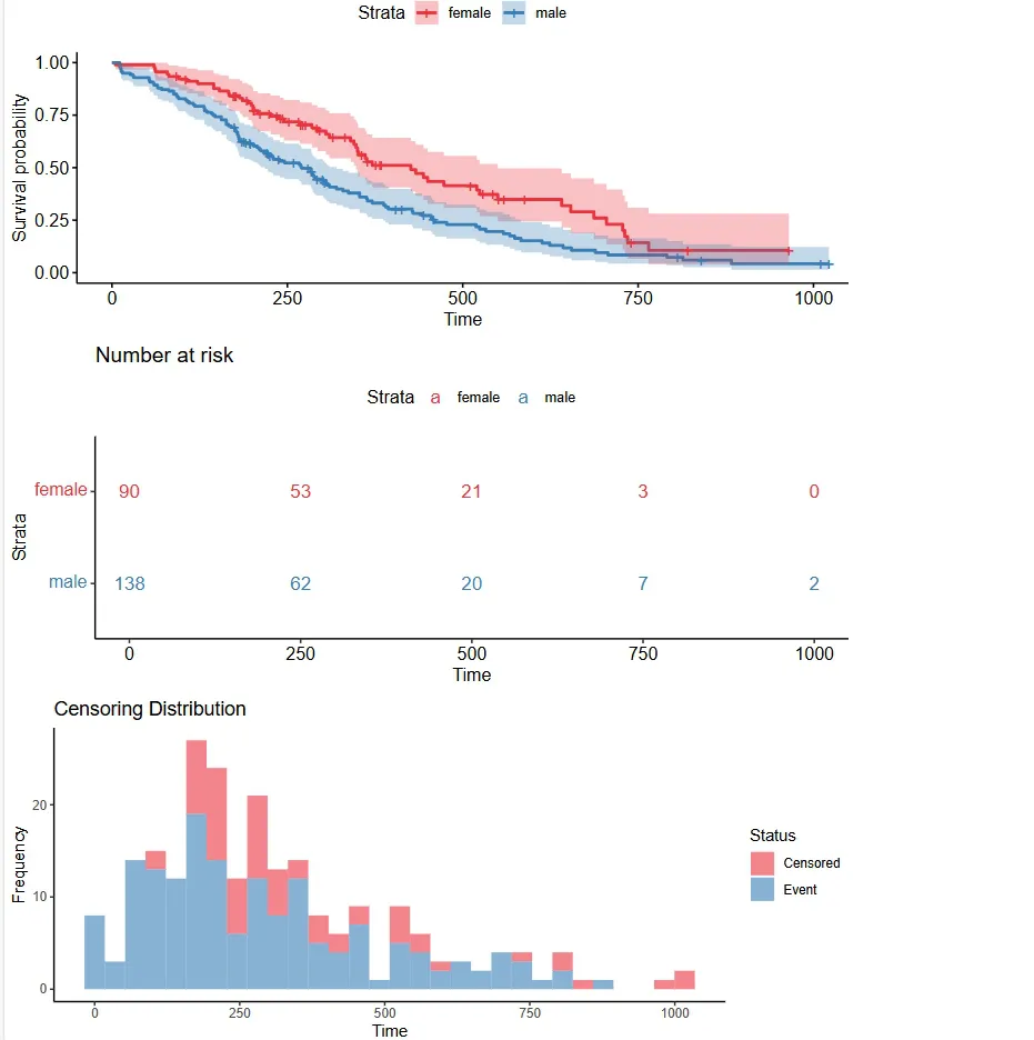
使用Cox比例风险模型通过考察自变量(协变量)对生存时间的影响,计算各变量的风险比(Hazard Ratio, HR),从而判断其对事件发生风险的相对影响。
privacy_tip 如果您在文章中使用生科云分析数据,请引用生科云,正文中可用如下格式:
A [此处写分析名称] was completed using the Wekemo Bioincloud (https:// www.bioincloud.tech) [Ref].
请引用文献:[Ref]. Yunyun Gao, Guoxing Zhang, Shunyao Jiang, Yong-Xin Liu. 2024. Wekemo Bioincloud: A user-friendly platform for meta-omics data analyses. iMeta 3: e175. https://doi.org/10.1002/imt2.175
商务合作
help
使用说明
video_label
视频教程
phone_android
人工帮助